| 网站首页 | 企业简介 | 产品展示 | 氟油知识 | 联系我们 | 网站管理 | 




   全氟聚醚油
   高真空泵油
   氧气压缩机油
   全氟聚醚特种润滑脂
   可靠性测试液
   热传导液
   气相焊接液
   电子清洗液
   其它特种油
   常用对照表




   本公司与中国石化润滑油公司合作,代理销售其全系列全氟聚醚油产品、氟氯润滑油产品。发扬民族精神,振兴民族品牌,使中国的氟油产品,除军工以外,得到更多领域的应用。全氟聚醚油主要应用在:航空航天:如高低温润滑、密封圈、垫圈等电子工业:如电子元器件制造,电线、电缆、光纤、光缆生产、电子元器件、电路板的焊接、检测、热传导等另外,在化学工业、制药工业、造纸机械、表面处理、食品工业等领域也广泛使用。氟氯润滑油主要应用在:氧气制造设备、特殊金属拉丝等领域。








  您当前位置 -> 氟油知识   



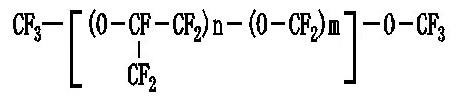
全氟聚醚隋性油液是由六氟丙烯光化学处理而成的氟化聚合物。这种聚合物的化学链上只有碳、氟和氧原子,具有以下非凡特性:

低蒸汽压
化学惰性
不燃性
高温稳定性
良好的润滑性
无闪点或燃点
低毒
与金属、塑料、弹性体具有非常好的兼容性
低挥发性
良好的抗含水及无水溶剂性能
高介电性
低表面张力
良好的幅照稳定性
环境良益对臭氧层无侵害




版权信息© 北京瑞思凯商贸有限公司版权所有
地址:北京市东城区和平里南街五区18号龙绍衡商务大厦307室      邮编:100013
电话:86-10-64228033  传真:86-10-64223468   E-mail:ruisikai@aliyun.com

京ICP备07002065号

净化网络环境,遵守国家法律。空间服务商-诺凡科技wangzhan8.com技术支持-投诉建议